JNV Class 9th Cut Off 2026 | नवोदय कक्षा 9वीं का कट ऑफ कितना जाएगा

हेलो दोस्तों स्वागत है हमारे एक और नए आर्टिकल में दोस्तों आज हम बात करने वाले हैं नवोदय कक्षा 9 प्रवेश परीक्षा के कट ऑफ के बारे में यदि आप भी इसमें आवेदन किए हैं तो आपके लिए यह आर्टिकल बहुत ही महत्वपूर्ण होने वाली है क्यूंकि हम आपको इस आर्टिकल में बताने वाले हैं।
कि कितना कट ऑफ कितना, आंसर की कब आयेगा, रिजल्ट कब आयेगा, टॉप jnv कॉलेज कितना है और भी सारी चीजें हम आपको इस आर्टिकल में बताने वाले हैं इसलिए आपको इस आर्टिकल में पूरे अंत तक ध्यान पूर्वक बने रहना है।
JNV Class 9th Cut off Mark 2026 PDF Download Overview
| Article Name | JNV Class 9th Cut off Mark 2026 PDF Download |
| Exam Date | 7 February 2025 |
| Answer Key Status | Release Soon |
| Result Date | 1st Week of March |
| Official Website | https://navodaya.gov.in/ |
JNV Class 9th Entrance Exam Answer Key Release Date :-
दोस्तों जैसा आप लोगों को पता है कि नवोदय क्लास 9 का एंट्रेंस एग्जाम 7 फरवरी को आयोजित की गई है अब जो भी विद्यार्थी इस परीक्षा में शामिल हुए हैं वह सभी ऑफिशियल आंसर की के लिए बेसब्री से इंतजार कर रहे हैं तो दोस्तों हम आपको इस आर्टिकल में बता दें ।
कि नवोदय क्लास 9 एंट्रेंस एग्जाम का आंसर की ऑफीशियली फरवरी के तीसरे सप्ताह तक जारी कर दिया जाएगा ऐसा मीडिया रिपोर्ट की तरफ से खबर आ रही है बाकी दोस्तों आप अधिकतर क्वेश्चन का आंसर की चैट जीपीटी या फिर गूगल की मदद से चेक कर सकते हो बाकी रिजल्ट कब आएगा हम आपको इसी आर्टिकल में बताने वाले हैं।
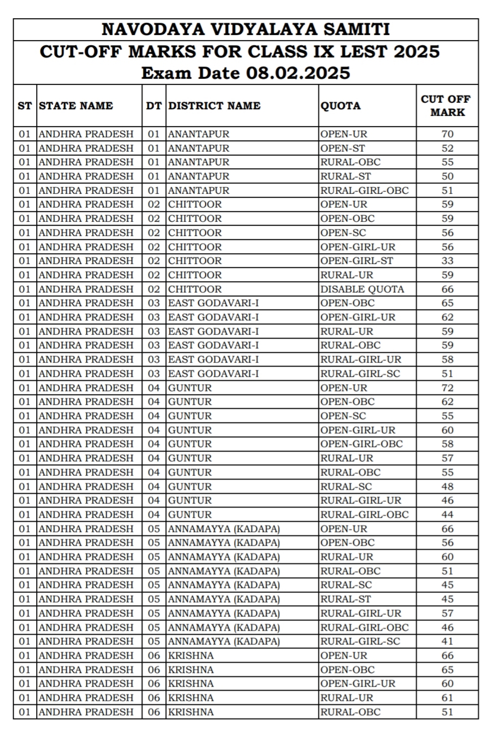
Navodaya Class 9th Cut off 2025 :-
| Category Name | Cut Off 2025 |
| General | 68 – 72 |
| OBC | 55 – 65 |
| SC | 48 – 60 |
| ST | 45 – 58 |
Top 10 Govt. JNV College List :-
- JNV Chennithala
- JNV Gachibowli
- JNV Chendayad
- JNV Hamirpur
- JNV Ernakulam
- JNV Samastipur
- JNV Chittoor
- JNV Karimnagar
- JNV Yamunanagar
- JNV Sonitpur
| Previous Year Official Cut Off PDF Download Link | Click Here |
| Answer Key All Set PDF Download Link | Click Here |
Navodaya Class 9th Result Date :-
दोस्तों जैसा आप लोगों को पता है कि जवाहर नवोदय विद्यालय कक्षा 9 की परीक्षा 7 फरवरी को आयोजित किया गया है अब जो भी विद्यार्थी इस परीक्षा में शामिल हुए हैं वो सभी रिजल्ट की प्रतीक्षा बेसब्री से कर रहे हैं तो दोस्तों हम आपको बता दें।
कि सबसे पहले इसका आंसर की जारी किया जाएगा उसके बाद आपका रिजल्ट आएगा और मीडिया रिपोर्ट की तरफ से खबर आ रही है कि रिजल्ट जनवरी के अंतिम सप्ताह तक जारी कर दिया जाएगा और रिजल्ट चेक करने के लिए आपको आधिकारिक वेबसाइट पर जाना होगा।
Document List For Document Verification :-
- Birth Certificate
- Aadhaar Card
- Residence Proof (same district as JNV)
- Class 3, 4, 5 Study/Rural Certificate from the previous school
- Medical Fitness Certificate
- Category/Disability certificates
How to Download Jnv Class 9th Answer Key :-
- सबसे पहले आपको jnv के आधिकारिक वेबसाइट पर जाना होगा।
- वहां पर जाने के बाद आपको jnv Class 9th आंसर की का लिंक मिल जाएगा।
- उस लिंक पर आपको क्लिक कर देना है।
- क्लिक करते ही आपके सामने एक पेज खुल कर आयेगा उसमें अपने पेपर सेट, रोल नंबर और परीक्षा की तारीख डाल कर चेक आंसर की पर क्लिक करना है।
- जैसे ही आप क्लिक करोगे आपका आंसर की डाउनलोड हो जाएगा।
Some Important Link
| Official Website Link | Click Here |
| Result Download Link | Click Here |
| Previous Year Cut Off List PDF Download Link | Click Here |
| Telegram Link | Click Here |
| Home Page Link | Click Here |
